Ene15 General Explorando los diferentes tipos de textos históricos: una ventana al pasado Dejar comentario
Ene15 General Los distintos tipos de gasolina en España: ¿Cuál es la más adecuada para tu vehículo? Dejar comentario
Ene15 General Descubriendo los diferentes tipos de cine: ¡Un viaje fascinante a través de géneros y estilos cinematográficos! Dejar comentario
Ene15 General Descubre los diferentes tipos de gestos y su significado en la comunicación humana Dejar comentario
Ene15 General La belleza de la escritura: Explorando los distintos tipos de letras en la caligrafía Dejar comentario
Ene15 General Los diferentes tipos de panel sandwich: una opción versátil para la construcción. Dejar comentario
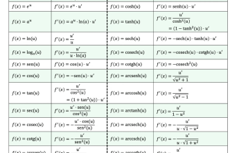
Ene15 General Explorando los Tipos de Derivadas: Una guía completa para comprender y aplicar en matemáticas Dejar comentario
Ene15 General Guía completa sobre los diferentes tipos de DVI: Conectores, características y usos Dejar comentario